材料科学系吴仁兵团队在新型电磁吸收材料研究领域取得重要进展
随着电子器件的小型化、智能化和高度集成化,电磁干扰以及器件工作时带来的热量问题严重制约着器件的性能。目前解决电磁干扰问题的主要策略是借助电磁吸收材料本征的磁或介电损耗将电磁波转化为热能进行耗散,从而达到消除电磁干扰的目的。该策略尽管能够有效地缓解电磁干扰,但却忽视了电磁能的可循环利用。此外,直接的电磁耗损在小型化、密集型的电子设备内部还会出现严重的制热问题,从而迅速衰减电磁吸收能力。
有鉴于此,复旦大学材料科学系吴仁兵团队从电磁能循环利用的视角,提出了一种新的二阶能量转换方案:将电磁波耗散转换成热能,再基于热电效应将热能转换为电能。2月5日,相关研究成果以“A flexible electromagnetic wave-electricity harvester”为题在线发表于《自然·通讯》(Nature Communications, 2021, 12, 834)。

图1. (a)锡颗粒在石墨碳基体中通过热处理展现的分裂行为示意图;(b-c)锡/碳复合材料的透射电镜图

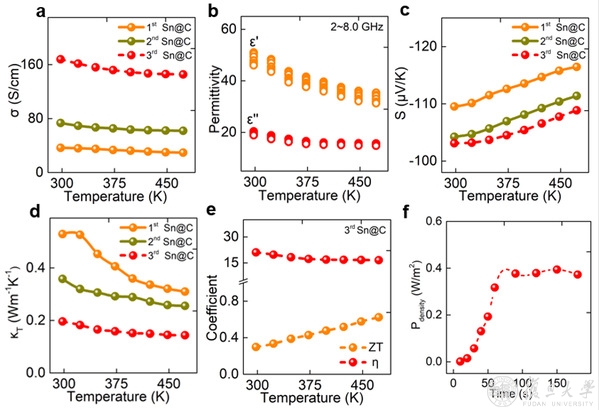
图2. 锡/碳复合材料的(a)电导率,(b)介电常数,(c)赛贝克系数,
(d)热导率,(e)耦合的电磁波-热-电性能;(f)电磁波-电能收集体受微波辐射后输出的功率密度
要实现高效的电磁-热-直流电转化效率,材料需满足高的电导率和赛贝克系数以及低的热导率。尽管传统的半导合金体热电型材料拥有较高的热电转化效率,但其较低的电导率和赛贝克系数严重地制约了电磁-热-电转化能力。为了实现上述二阶能量转换方案和平衡电磁-热-电能转化效率,该团队通过材料成分和结构设计,构建了金属锡/碳复合材料为核心层的“三明治”结构。研究发现,锡在热处理过程中能呈现出像生物细胞一样的分裂行为,三次热处理后,金属锡分裂成3 纳米左右的纳米晶,均匀分散在石墨碳基体中(图1)。镶嵌有金属锡纳米晶的石墨碳基体表现出增强的声子耦合能力,能大幅降低复合材料热导率的同时提高电导率,从而有助于热-电转化效率的提升。此外,通过金属锡的高温催化效应,使得碳基体呈现出较好的石墨化程度和窄禁带特性,也有效地提高了复合材料的塞贝克系数(图2a-e)。
为进一步提高电磁吸收效率,三明治结构的顶层选择性地沉积了透波和绝热性能极好的派瑞林高分子层,底层构筑了派瑞林/金阵列。这样的宏观结构设计可有效构建电磁反射回路,不仅能提高锡/碳中间层的电磁捕捉能力,同时有效产生温度梯度,实现热-电转化。研究结果表明,经过电磁波辐射150秒后的器件最大输出功率密度为0.394 W/m2(图2f)。
该研究为设计电磁吸收材料,更好地解决电磁干扰提供了新的思路。
论文链接:https://doi.org/10.1038/s41467-021-21103-9
未经允许不得转载:大学门户 » 材料科学系吴仁兵团队在新型电磁吸收材料研究领域取得重要进展
相关推荐
- 周晔:一生的理想信念,提高政治识别能力
- 类脑芯片与片上智能系统研究院团队研发的脑机接口芯片连续两年荣获国际电路与系统年会最佳论文奖
- 列车晚点,这名复旦上医人却说值得庆幸
- 复旦第12届“学术之星”揭晓!5名同学获特等奖,31名获“学术之星”称号
- 复旦大学党委常委会传达学习中央经济工作会议精神
- 生命科学学院赵冰、林鑫华团队应用人源类器官回答新冠病毒感染和损伤肝脏机制
- 教育系统纪念哲学社会科学工作座谈会召开五周年暨学习贯彻习近平总书记给《文史哲》编辑部全体编辑人员重要回信精神座谈会召开
- 复旦大学2017级本科生军训圆满结束
- 党委理论学习中心组专题(扩大)学习习近平总书记关于党的纪
- 桑玉成:疫情防控让我们看到制度优势,也深刻体会到推进治理现代化的紧迫性
- 上海论坛2020及亚洲研究中心合作协议签署 上海论坛2020第一次筹备汇报会举行
- 江湾校区结束闭环管理,7张小贴士帮你平安度过12天健康观察期
- 复旦大学与嘉善县人民政府合作启动仪式举行
- 上海复旦大学教育发展基金会第三届理事会第十五次会议举行
- 复旦科学家研究成果入选《自然》(Nature)2019年度十大杰出论文
- “青年聚,齐战疫”五校联合宣讲在线举行
- 许闲:惠民保的三个阶段和三方共赢
- 内蒙古大学党政领导访问复旦大学
- 热烈庆祝中华人民共和国成立72周年!
- 三名复旦考古人解码一万多块动物骨骼
新闻公告
- 全体复旦人,请收好这份防疫温馨提醒 03-15
- 复旦上医2022年2月科研成果一览 03-15
- 复旦上医,共克时艰! 03-14
高考招生
- 复旦大学2017年招生章程 08-05
- 复旦大学2018年招生章程 08-05
- 复旦大学2014年招生章程 08-05
- 复旦大学2015年招生章程 08-05
- 复旦大学2016年招生章程 08-05
- 复旦大学2012招生章程 08-05
- 复旦大学2013年招生章程 08-05
- 复旦大学2008年招生章程 08-05
- 复旦大学2009年招生章程 08-05
- 复旦大学2011年招生章程 08-05
